当前位置:首页 >
问题
[气相色谱] HJ 584-2010苯系物的测定 活性炭吸附-二硫化碳解吸-气相色谱法 检出限的讨论
浏览量:1304 发布时间:2020-12-23
答案
HJ 584-2010苯系物的测定是检测环境空气VOC最常用的方法,由于其操作简便,实验成本低,广泛应用于各环境检测站,疾控系统和第三方检测单位。其中,一些实验人员对该方法的检出限有一定的疑问。本文结合具体方法对检出限的问题进行详细讨论。
方法检出限 (Method Detection Limit, MDL) 是指在通过某一种分析方法的全部处理和测定过程之后(包括样品制备和样品测定),被测定物质产生的信号能99%置信度区别于空白样品而被测定出来的最低浓度。方法的检出限与仪器的检出限相似,但考虑了样品分析前的所有制备过程的影响。方法的检出限是我们建立分析方法时最关心的一个参数。
对于低浓度检测数据的方法一直存在较多的争议。如果MDL设置太低,当被分析物的浓度在MDL附近时,由于方法不能够可靠地辨别噪音和被分析物的响应信号,出现假正值和假负值的几率就会增加;反之,如果MDL设置太高,虽然会提高检测结果的可靠性,但对于一些限制标准很低的检测指标,往往满足不了法规标准的要求,因为方法的检出限已经超过了标准的限制值。
方法的检出限一般采用统计的方法确定。常见的方法检出限评估方法主要有单点浓度法(如美国EPA-1997、IUPAC-1998、HJ 168-2010等)和多点浓度工作曲线法(ISO11843.2-2000、GB 17378.2-2007等),下面我们针对HJ 584-2010《环境空气 苯系物的测定 活性炭吸附/二硫化碳解吸-气相色谱法》,采用HJ 168-2010《环境监测 分析方法标准制修订技术导则》对方法检出限进行测试。

一、检出限测定样品及标准曲线配置
取8种苯系物标准品,用痕量级二硫化碳稀释至0.015、0.030、0.045、0.050、0.060、0.100、0.150、0.200、0.250 mg/L,并以0.100、0.150、0.200、0.250 mg/L对应的峰面积作校准系列。
二、结果计算
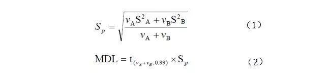
参照HJ 168-2010,样品检出限按照以下公式计算式中,MDL为方法检出限; vA:方差较大数据的自由度; vB:方差较小数据的自由度; S2A: 较大方差; S2B: 较小方差; t: 自由度为vA + vB, 置信度为99%时t分布; Sp: 组合标准偏差。
三、仪器条件
Thermo TRACE 1310 气相色谱仪,FID检测器,CD-wax (30m × 0.32 mm × 1.0 μm) 毛细管柱,柱箱温度65 °C保持10 min,以5 °C/min速率升温至90 °C保持2 min;柱流量:2.6 ml/min;进样口温度:150 °C;检测器温度:250 °C。
为了尽可能提高检出限,我们对HJ 584-2010 色谱方法进行了适当的调整。
1.减小分流比为 1: 2
-不分流会造成峰型拖尾,分离度变差
2.增大进样量为2.5μl
-无限制增大进样量会导致样品气化后大于衬管体积,造成溢出,导致检测结果偏差。

膨胀体积公式

溶剂膨胀体积=22,400×A×B×C×I
A=溶剂密度/溶剂分子量=1.26/76=0.0165
B=15/(15+色谱柱头压[psi]) =15/(15+12.328)=0.5489
C=(进样口温度°C +273)/273=(150+273)/273=1.55
I=液体进样体积[μl]


四、实验结果与讨论

1. 仪器检出限

一般按照3倍信噪比为仪器检出限,用不同浓度样品进样,最后得出检出限为0.100 mg/L,该浓度下色谱图如图所示:

2. 方法检出限
将浓度为0.100、0.150、0.200、0.250 mg/L的测试样品进行平行测定 (n≥7)。本实验中,测试次数为8次,并计算8次测定出样品含量的标准偏差。利用0.100 mg/L和0.150 mg/L的数据,按照公式(1)和(2)进行计算,计算出检出限浓度为苯0.021mg/L、甲苯0.022mg/L、乙苯0.021mg/L、苯乙烯 0.020mg/L。
根据HJ 168-2010 A.1.1对计算出的MDL进行合理性判断,87.5 %样品浓度平均值与MDL比值在3~5之间,且100%的被分析物样品浓度在1~10倍计算出的检出限范围内,故所得MDL合理。
HJ 584-2010《环境空气 苯系物的测定 活性炭吸附/二硫化碳解吸-气相色谱法》中采样体积为10L时,苯系物检出限折算至仪器检出线约为0.015 mg/L,与计算结果相近。但在实际测试中,按计算出的MDL浓度进样,被分析物响应未达仪器检出限,且当样品浓度提高为0.030 mg/L时,苯系物峰也难以与杂质峰明显区分。

苯系物浓度为0.015 mg/L色谱图

苯系物浓度为0.030 mg/L色谱图
3. 检出限方法的再优化
因此,可继续对仪器条件进行优化,使MDL更接近HJ 584-2010方法的检出限。更重要的是,实验人员希望使用超低本底或无本底的二硫化碳,从而避免计算时需扣除二硫化碳苯系物本底。这对二硫化碳的生产厂家提出了更高的要求,必须找到灵敏度更高的色谱方法。
通过进一步调整和优化进样及色谱条件,最终可使检出限低于0.015 mg/L,如下所示,浓度为0.010 mg/L 八种苯系物的色谱图。

经过以上实验可得出结论,利用HJ 168-2010 提出的方法检出限计算方法得到的检出限实测值,与HJ 584-2010给出的方法检出限相近,但在实际操作中,由于仪器状态等因素,往往不能达到理论方法检出限,建议测试中以仪器检出限,即3倍信噪比为准。
 

 

 
                                                                                                             
 

 

 首 页 | 公司简介 | 客户服务 | 联系我们 | 常见问题 | 投诉与建议

         上海安谱实验科技股份有限公司     版权所有
Copyright ANPEL Laboratory Technologies (Shanghai) Inc.   All Rights Reserved (R)

 联系电话:86-21-54890099 传真:86-21-54248311

     
               
  沪ICP备 08012727 ><!-- Inject Script Filtered -->


   版权所有:上海安谱实验科技股份有限公司 沪ICP备 08012727号-5